自动化立库的规划步骤及面积资源测算方法
一、自动化立体仓库规划思路
01 自动化立体仓库概述
自动化立体仓库系统主要是由立体货架、出入库托盘输送设备、存储设备、巷道堆垛机、尺寸检测条码阅读系统、控制系统、通讯系统和上位机监控系统等部分组成。
自动化立体仓库系统与土建公共设施有关,如厂房、照明系统、消防系统、通风采暖系统、动力系统等等有关。
02 自动化立体仓库规划步骤
1、 确定自动化立体库的需求
1)要确定自动化立体库的需求,包括物料的类型、数量、尺寸、重量、包装形式等信息,以及库房的面积、高度、温度、湿度、控制系统等要求。
2)要根据实际情况,计算出自动化立体库的最佳容量,以便在设计时考虑足够的空间。
3)要考虑自动化立体库的安全性,确保货物的安全存储和安全运输。
2、自动化立体库的设计要点
1)根据自动化立体库的需求,设计货架结构,确定货架定制的高度、宽度、深度、支撑结构、支撑材料、组装方式等。
2)设计自动化立体库的控制系统,包括控制设备、传感器、控制程序、软件等。
3)要设计自动化立体库的运输设备,包括货架车、货架升降机、自动货架移动机械等。
4)设计自动化立体库的操作流程,包括入库、出库、查询、库存管理等。
3、自动化立库的设计流程
1)收集和研究原始资料,进行需求分析。
在确定建自动化立体仓库之后,需要研究原始资料,得出仓库规划设计的主要依据。
需要对所有入库货物的品种进行ABC分析,分析货品的形式、尺寸和重量,确定土建设计的有关参数,进行仓库的货架、作业机械配置。
2)确定仓库形式、作业方式和货物单元。
在调查分析入库货物的品种的基础上,首先应该确定仓库的形式。一般采用单元货位式仓库。
为了提高出入库的搬运效率,应尽量采用复合作业方式,避免单入单出模式,也可以采用一次搬运两个货物单元的作业方式提高作业效率。
3)确定货物单元形式和货架设计。
为了确定货物单元形式、尺寸和重量,应该对货物进行品种的分析,选择最佳的设计方案。
确定好货物单元形式后,可以据此进行货架的设计。货架的设计过程实际上是一个确定合理的货架参数的过程。
4)确定库存量和仓库总体尺寸。
立体仓库的实际规模主要取决于库存量。
(1)如果库存量已知,在恰当考虑未来发展需要的基础上,可以直接使用这个库存量参数,但是要给出一定的余量。
(2)如果库存量未知,需要根据近1-3年的出入库的数量和规律确定库存量。
确定立体仓库的总体尺寸是容易实现和经济性要求,仓库不宜设计的过高,以10至20m的高度为宜。
5)选择机械设备类型数量。
选择机械设备类型和数量主要是为立体仓库选择堆垛机。
堆垛机的数量主要取决于仓库的作业能力,即最大出、入库频率。一般情况下,货架的高和长的比值等于堆垛机的垂直运行速度和水平运行速度的比值,是堆垛机的效率中最高。
另外,机械设备的选用还包括输送设备、货物自动分拣设备及周边设备的选用。
6)仓库出入库流量设计。
自动仓库的出入库流量设计主要和出入库搬运周期有关。
自动化立体仓库的搬运周期一般取决于巷道堆垛机的作业循环时间。堆垛机的出入库搬运分为单一作业和复合作业两种,堆垛机的搬运周期越短,立体仓库的出入库作业效率也越高。
7)总体布局设计。
完成上述六个步骤后,便可以对自动化仓库的总体布局进行设计。这个时候需要考虑立库存储区与总体布局设计是应考虑立体货架与作业区的衔接方式和货物单元出入高层货架的方式。
8)确定管理和控制方式。
自动化立库的管理系统主要包括储位管理、储位编码与货物编号、储位指派方式的确定。
涉及的控制技术主要包括电气控制技术、计算机和堆垛机的通信等。
9)仿真分析。
为了验证所设计的自动化立体仓库是否达到设计要求,可以使用仿真的方法进行验证方案的合理性。
4、自动化立体库的实施
1)购买设备,包括控制设备、传感器、货架车、货架升降机、自动货架移动机械等。
2)安装设备,根据设计图纸安装货架,安装控制设备、传感器、货架车、货架升降机、自动货架移动机械等。
3)要检查设备,确保设备安装正确,并进行系统调试,确保设备的正常运行。
4)要进行演示及培训,确保操作人员能够正确操作自动化立体库,并能够及时发现和处理故障。
二、自动化立体仓库规划测算
01 仓库面积测算
1、荷重计算法:A=mQ/kq
-
A指立体仓库所需面积(m2)
-
k指立体仓库面积利用率,即存货面积与总面积之比
-
mQ指立体仓库货物的库存量(t)
-
q指立体仓库单位面积上的库存量(t/m2)
2、直接计算法:A=A1+A2+A3+A4
-
A1指货物有效存放面积(m2)
-
A2指入库验货场地面积(m2)
-
A3指出库发货场地面积(m2)
-
A4指通道面积(m2)
3、库存指标:最大库存量:mQ=(EK/30)t(每月30天计算)
-
E指立体仓库的月最大货物存取量(t)
-
K指设计最大入库百分数
-
t指货物在仓库中平均库存期(天)
库存周转率:一种衡量物料在仓库里或是整条价值流中,流动快慢的标准。
02 货架设计
1、货架高度设计
自动化立体仓库主要的参数是货架高度,最佳高度直接影响占地面积、长度、宽度、起重运输机械设备装载效率以及技术经济指标的选择。
影响货架高度的因素:储存量、周转率以及订货发送时的配套模式。
2、最佳参数确定
-
货架高度H:货架最佳高度取决于容量,通常在15-20m之间,当容量为1000-1500t时,高度H为12.6m,当容量为6000t或以上时,高度H为16.2 m。
-
货架长度L:若仓库作业由堆垛机上、下货,则货架的最佳通道长度L在80-120m之间。为保证堆垛机的托架垂直和水平移动操作并行不悖,则H/L应保持均衡,一般推荐采用下列比值:
H/L={1/4-1/6}
3、货架尺寸设计
-
两种形式货架:牛腿式货架和横梁式货架
-
由以下4个参数中的3个来确定货架尺寸:
(1)仓库长度(或货架列数);
(2)仓库宽度(或巷道数);
(3)仓库高度(或货架层数);
(4)仓库容量(或总货位数)。
4、出入库能力计算
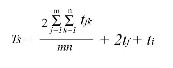
(1)循环作业时间
平均单一作业循环时间:堆垛机从某一出入库站开始向所有货格进行入库作业循环(或出库作业循环)的平均时间。当货架为m列,n层时,作业时间为:
-
TS指平均单一循环作业时间(s);
-
tjk指从入库开始到j列k层单程移动时间(s);
-
tf指叉货时间,在出入库站或货格处货物移动时间(s)
-
ti指浪费时间,控制延迟时间等(s);
(2)同端出入库
平均复合作业循环时间:入库作业后进行出库作业时的循环时间。当货架为m列、n层时,作业时间为:
-
TD指平均复合循环作业时间(s);
-
tjk指从入库开始到j列k层单程移动时间(s);
-
tf指叉货时间,在出入库站或货格处,货物移动时(s);
-
ti停机时间,控制延迟时间等(s);
-
tt平均货格移动时间,随机确定入库货格和出库货格,作适当次数货格移动求得所需时间的平均值(s);
-
ts出入库站间移动时间(s)
(3)出入库周期
堆垛机基本出入库能力用每小时内入库或出库的存储单元数表示。
平均单一作业循环时间基准出入库能力=Ns=3600/Ts
平均复合作业循环时间基准出入库能力=Nd=3600/Td
其中:Ns、Nd为每小时入库或出库的存储单元数量
出入库形式包括,同端出入库、两端出入库、中间出入库。
三、自动化立体仓库好处
1、能够提高企业的生产效率
通过自动化仓库,企业可以更好地控制库存,减少库存积压,提高库存周转率,从而提高产品出货速度,实现生产效率的提高。
2、能够提高企业的生产率
自动化仓库可以消除人为因素,减少人工操作,减少生产过程中的操作错误,从而提高产品的质量,提升企业的生产率。
3、能够提高企业的安全性
自动化仓库可以有效地控制库存,实现精确的库存管理,减少库存积压,从而有效地降低企业的库存风险,提高企业的安全性。
4、能够提高企业的经济效益
自动化仓库可以减少企业的人力成本,提高企业的生产效率,实现企业的高效率运营,提高企业的经济效益。
总之,自动化仓库能为企业带来许多好处。因此,企业可以结合自身条件采用自动化仓库,以实现企业的高效率运营。
文章摘自罗戈网
- 上一篇:深入仓库管理,你需要知道这些! 2024/3/28
- 下一篇:物流业务基础平台组建指南 2013/8/15
